External Source

The Fastest Way To Divide A Polynomial By A Monomial

2025 2:19
Synopsis
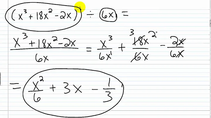
In this video we are going to cover the fastest way to divide polynomials not using synthetic division or long division ***Videos ...
Download Options
Choose a download method below. All links open in new tabs.
Service Features Action
SaveFrom
MP4 & MP3 • HD Quality • Browser Extension Available
Download
Security Notice: These are third-party services. We recommend using antivirus software and being cautious of pop-up ads.