External Source

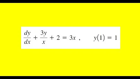
Initial Value Problem

2019 5:46
Synopsis
This calculus video tutorial explains how to solve the initial value problem as it relates to separable differential equations.
Download Options
Choose a download method below. All links open in new tabs.
Service Features Action
SaveFrom
MP4 & MP3 • HD Quality • Browser Extension Available
Download
Security Notice: These are third-party services. We recommend using antivirus software and being cautious of pop-up ads.