External Source

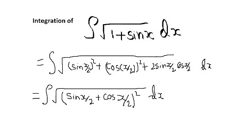
How To Integrate Sqrt(1+sinx), Indefinite Integral, Substitution Integration, Calculus

2019 2:27
Synopsis
Reference: ...
Download Options
Choose a download method below. All links open in new tabs.
Service Features Action
SaveFrom
MP4 & MP3 • HD Quality • Browser Extension Available
Download
Security Notice: These are third-party services. We recommend using antivirus software and being cautious of pop-up ads.