External Source

Curve With Equidistant From The Origin And The Intersection Of The Y-axis With The Normal

2024 6:56
Synopsis
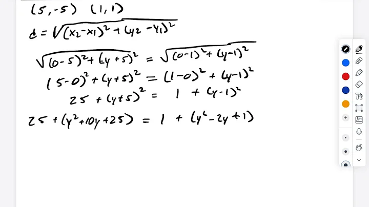
A curve in rectangular coordinates is drawn so that every point on it, is equidistant from the origin and the intersection of the y-axis ...
Download Options
Choose a download method below. All links open in new tabs.
Service Features Action
SaveFrom
MP4 & MP3 • HD Quality • Browser Extension Available
Download
Security Notice: These are third-party services. We recommend using antivirus software and being cautious of pop-up ads.