External Source

Data Representation - Me - Conversion Between - Binary And Hexadecimal

2020 3:37
Synopsis
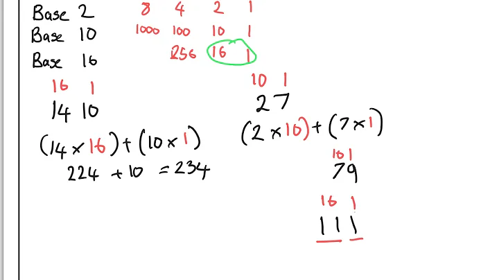
Binary and Hexadecimal ...
Download Options
Choose a download method below. All links open in new tabs.
Service Features Action
SaveFrom
MP4 & MP3 • HD Quality • Browser Extension Available
Download
Security Notice: These are third-party services. We recommend using antivirus software and being cautious of pop-up ads.