External Source

How To Simplify Rational Expressions Involving Negative Exponents | Two Simple Methods

2021 11:05
Synopsis
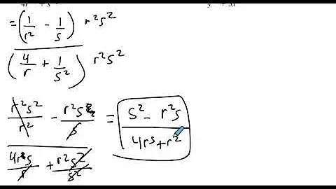
Learn two different methods to simplify a rational expression involving the subtraction of multiple fractions that contain variables ...
Download Options
Choose a download method below. All links open in new tabs.
Service Features Action
SaveFrom
MP4 & MP3 • HD Quality • Browser Extension Available
Download
Security Notice: These are third-party services. We recommend using antivirus software and being cautious of pop-up ads.