External Source

15.3: Double Integrals In Polar Coordinates

2019 35:49
Synopsis
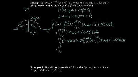
Objectives: 4. Express a double integral as an iterated integral in polar coordinates. 5. Find area and volume using an iterated ...
Download Options
Choose a download method below. All links open in new tabs.
Service Features Action
SaveFrom
MP4 & MP3 • HD Quality • Browser Extension Available
Download
Security Notice: These are third-party services. We recommend using antivirus software and being cautious of pop-up ads.