External Source

Parabolic Mirrors (part 3)

2025 1:48
Synopsis
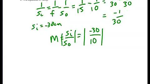
In this last video, Jacob shows how two parabolic mirrors create a floating 3D hologram. Light reflects, becomes parallel, then ...
Download Options
Choose a download method below. All links open in new tabs.
Service Features Action
SaveFrom
MP4 & MP3 • HD Quality • Browser Extension Available
Download
Security Notice: These are third-party services. We recommend using antivirus software and being cautious of pop-up ads.