External Source

Class #4 - Sum Of An Infinite Geometric Series

2016 7:49
Synopsis
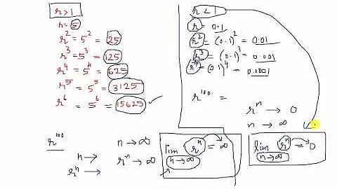
This explains Slide 5 of Infinite Series.
Download Options
Choose a download method below. All links open in new tabs.
Service Features Action
SaveFrom
MP4 & MP3 • HD Quality • Browser Extension Available
Download
Security Notice: These are third-party services. We recommend using antivirus software and being cautious of pop-up ads.