External Source

Ellipses Complete Guide (graphing, Writing Equations, Eccentricity)

2025 20:58
Synopsis
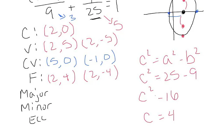
Ready to master ellipses? This complete guide to ellipses covers everything you need to know, from understanding their ...
Download Options
Choose a download method below. All links open in new tabs.
Service Features Action
SaveFrom
MP4 & MP3 • HD Quality • Browser Extension Available
Download
Security Notice: These are third-party services. We recommend using antivirus software and being cautious of pop-up ads.