External Source

Praxis Application Dec005 Comparing Decimal Numbers & Fractions

2025 0:47
Synopsis
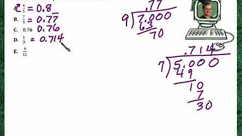
This video contains the solution to a problem from the eight learning packets I used in my Praxis workshops. The packets contain ...
Download Options
Choose a download method below. All links open in new tabs.
Service Features Action
SaveFrom
MP4 & MP3 • HD Quality • Browser Extension Available
Download
Security Notice: These are third-party services. We recommend using antivirus software and being cautious of pop-up ads.