External Source

Conic Sections: The Hyperbola Part 1 Of 2

2010 10:05
Synopsis
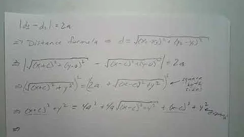
This video defines a hyperbola and explains how to graph a hyperbola given in standard form.
Download Options
Choose a download method below. All links open in new tabs.
Service Features Action
SaveFrom
MP4 & MP3 • HD Quality • Browser Extension Available
Download
Security Notice: These are third-party services. We recommend using antivirus software and being cautious of pop-up ads.