External Source

Key Cima P1 & P2 Theory: Sensitivity Analysis

2022 10:17
Synopsis
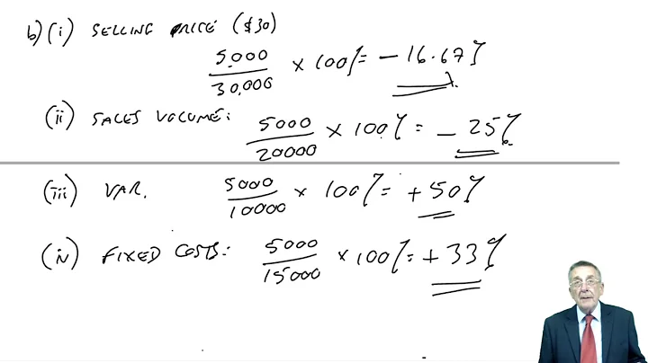
Sensitivity analysis is an essential part of managing uncertainty. A thorough sensitivity analysis is essential for assessing risk, and ...
Download Options
Choose a download method below. All links open in new tabs.
Service Features Action
SaveFrom
MP4 & MP3 • HD Quality • Browser Extension Available
Download
Security Notice: These are third-party services. We recommend using antivirus software and being cautious of pop-up ads.