External Source

Intermolecular Forces 2.7 - Clausius-clapeyron Equation

2013 6:05
Synopsis
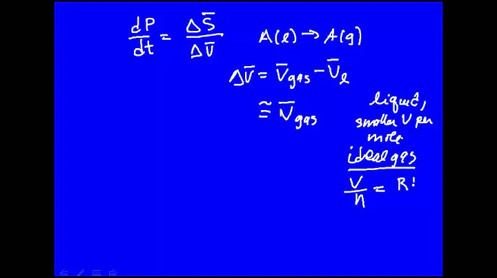
Liquid-Vapor equilibrium, Clausius-Clapeyron equation.
Download Options
Choose a download method below. All links open in new tabs.
Service Features Action
SaveFrom
MP4 & MP3 • HD Quality • Browser Extension Available
Download
Security Notice: These are third-party services. We recommend using antivirus software and being cautious of pop-up ads.