External Source

Solving Linear Systems - The Elimination/addition Method | Algebra | Glass Of Numbers

2020 8:26
Synopsis
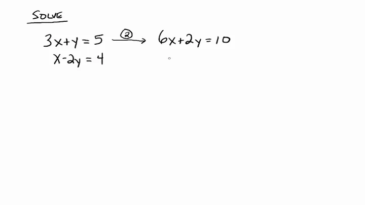
In this video, we are introducing how to solve a 2 by 2 linear system of equations using the elimination method (sometimes called ...
Download Options
Choose a download method below. All links open in new tabs.
Service Features Action
SaveFrom
MP4 & MP3 • HD Quality • Browser Extension Available
Download
Security Notice: These are third-party services. We recommend using antivirus software and being cautious of pop-up ads.