External Source

Elasticities And The Wire

2008 0:31
Synopsis
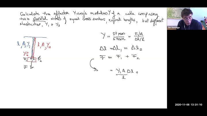
Stringer Bell describes the concept of elasticity to some corner kids. If you've never watched the show, the guy in the yellow is ...
Download Options
Choose a download method below. All links open in new tabs.
Service Features Action
SaveFrom
MP4 & MP3 • HD Quality • Browser Extension Available
Download
Security Notice: These are third-party services. We recommend using antivirus software and being cautious of pop-up ads.