External Source

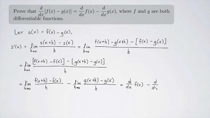
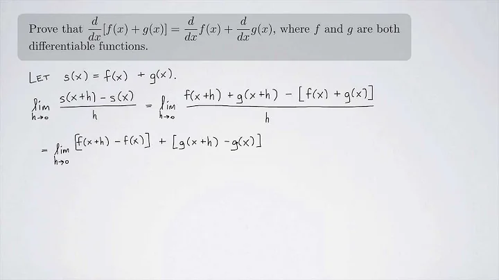
(single-variable Calculus 1) Proof Of The Derivative Of A Constant Function

2013 3:39
Synopsis
A proof that the derivative of a constant function is equal to zero.
Download Options
Choose a download method below. All links open in new tabs.
Service Features Action
SaveFrom
MP4 & MP3 • HD Quality • Browser Extension Available
Download
Security Notice: These are third-party services. We recommend using antivirus software and being cautious of pop-up ads.