External Source

Ged® Math: Help! Solve 3-step Inequality (1.12, Exp, # 12)

2021 9:18
Synopsis
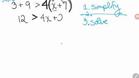
Algebra Essentials, Solve Inequalities, Experienced Level, # 12 Order the Algebra Essentials Student Workbook, A Personalized ...
Download Options
Choose a download method below. All links open in new tabs.
Service Features Action
SaveFrom
MP4 & MP3 • HD Quality • Browser Extension Available
Download
Security Notice: These are third-party services. We recommend using antivirus software and being cautious of pop-up ads.