External Source

Partial Fractions With Repeated Factor In Denominator

2019 2:27
Synopsis
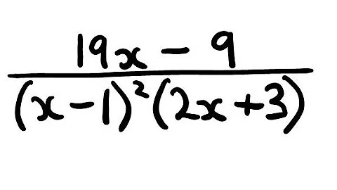
Simple partial fractions example with a squared linear factor in the denominator.
Download Options
Choose a download method below. All links open in new tabs.
Service Features Action
SaveFrom
MP4 & MP3 • HD Quality • Browser Extension Available
Download
Security Notice: These are third-party services. We recommend using antivirus software and being cautious of pop-up ads.