External Source

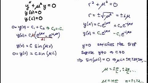
Eigenfunction Eigenvalue Problem

2018 10:36
Synopsis
Support me by becoming a channel member! https://www.youtube.com/channel/UChVUSXFzV8QCOKNWGfE56YQ/join #math ...
Download Options
Choose a download method below. All links open in new tabs.
Service Features Action
SaveFrom
MP4 & MP3 • HD Quality • Browser Extension Available
Download
Security Notice: These are third-party services. We recommend using antivirus software and being cautious of pop-up ads.