External Source

Solving Exponential And Logarithmic Equations (multiple Examples)

2019 12:27
Synopsis
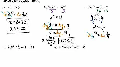
Learn how to solve both exponential and logarithmic equations in this video by Mario's Math Tutoring. We discuss lots of different ...
Download Options
Choose a download method below. All links open in new tabs.
Service Features Action
SaveFrom
MP4 & MP3 • HD Quality • Browser Extension Available
Download
Security Notice: These are third-party services. We recommend using antivirus software and being cautious of pop-up ads.