External Source

Factoring Completely | Mathhelp.com

2016 1:49
Synopsis
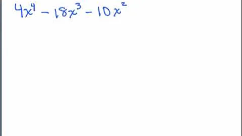
Need a custom math course? Visit http://www.MathHelp.com. This lesson covers factoring completely. Students learn that the first ...
Download Options
Choose a download method below. All links open in new tabs.
Service Features Action
SaveFrom
MP4 & MP3 • HD Quality • Browser Extension Available
Download
Security Notice: These are third-party services. We recommend using antivirus software and being cautious of pop-up ads.