External Source

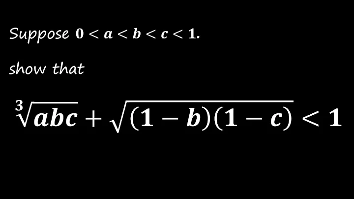
An Am-gm Inequality Problem From From 2019 Hong Kong Math Olympiad

2022 6:30
Synopsis
HongKong2019 #MathOlympiad #Inequality #AM-GM-Inquality 2019 Hong Kong Math Olympiad Check it out and have fun!
Download Options
Choose a download method below. All links open in new tabs.
Service Features Action
SaveFrom
MP4 & MP3 • HD Quality • Browser Extension Available
Download
Security Notice: These are third-party services. We recommend using antivirus software and being cautious of pop-up ads.