External Source

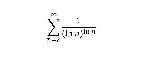
Σ1/(n√ln(n)) From 2 To ∞

2018 3:08
Synopsis
No description available
Download Options
Choose a download method below. All links open in new tabs.
Service Features Action
SaveFrom
MP4 & MP3 • HD Quality • Browser Extension Available
Download
Security Notice: These are third-party services. We recommend using antivirus software and being cautious of pop-up ads.