External Source

Cosmological Frw Metric: Inserting The Spatial Part, After Calculation For Homogeouscurvature

2016 1:45
Synopsis
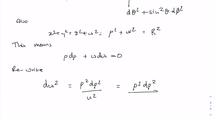
The calculation of the metric component grr(r) for a homogeoneously-curved 3-space is done in many places, and is included in a ...
Download Options
Choose a download method below. All links open in new tabs.
Service Features Action
SaveFrom
MP4 & MP3 • HD Quality • Browser Extension Available
Download
Security Notice: These are third-party services. We recommend using antivirus software and being cautious of pop-up ads.