External Source

Orthogonal Complements | How To Find A Basis For "w Perp" [passing Linear Algebra]

2019 10:58
Synopsis
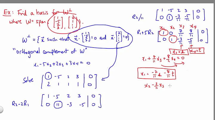
Example Problem: 5:45.
Download Options
Choose a download method below. All links open in new tabs.
Service Features Action
SaveFrom
MP4 & MP3 • HD Quality • Browser Extension Available
Download
Security Notice: These are third-party services. We recommend using antivirus software and being cautious of pop-up ads.