External Source

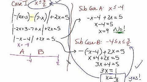
Nested Absolute Value! #math #maths #mathematics #shorts

2023 0:53
Synopsis
I hope this video was able to help you in your studies. For more videos like this, check out my channel: ...
Download Options
Choose a download method below. All links open in new tabs.
Service Features Action
SaveFrom
MP4 & MP3 • HD Quality • Browser Extension Available
Download
Security Notice: These are third-party services. We recommend using antivirus software and being cautious of pop-up ads.