External Source

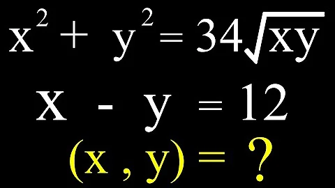
A Nice Algebra Problem | Math Olympiad | How To Find X And Y?

2025 11:26
Synopsis
University Admission Exam Question || Algebra Problem || Entrance Aptitude Simplification Test || Tricky Interview Harvard ...
Download Options
Choose a download method below. All links open in new tabs.
Service Features Action
SaveFrom
MP4 & MP3 • HD Quality • Browser Extension Available
Download
Security Notice: These are third-party services. We recommend using antivirus software and being cautious of pop-up ads.