External Source

Fields: A Basis For A Double Quadratic Extension

2019 3:23
Synopsis
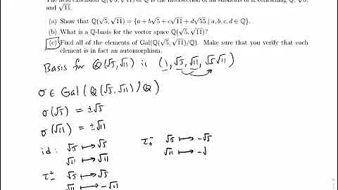
We find a basis for Q(sqrt(5),sqrt(11)).
Download Options
Choose a download method below. All links open in new tabs.
Service Features Action
SaveFrom
MP4 & MP3 • HD Quality • Browser Extension Available
Download
Security Notice: These are third-party services. We recommend using antivirus software and being cautious of pop-up ads.