External Source

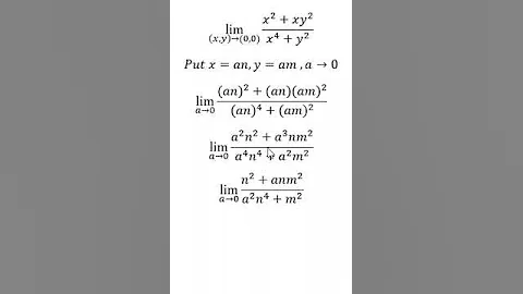
Limit (x,y) Approaches (0,0) Of Xy^4/(x^2+y^6)

2025 2:58
Synopsis
limit (x,y) approaches (0,0) of
Download Options
Choose a download method below. All links open in new tabs.
Service Features Action
SaveFrom
MP4 & MP3 • HD Quality • Browser Extension Available
Download
Security Notice: These are third-party services. We recommend using antivirus software and being cautious of pop-up ads.