External Source

Computing The Flux Across A Surface // Vector Calculus

2020 8:09
Synopsis
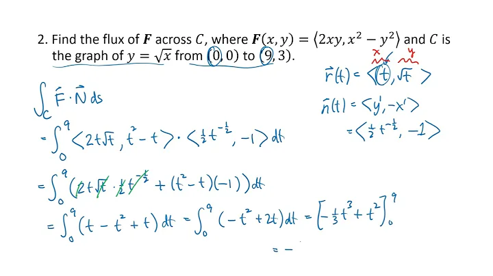
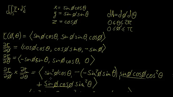
In this example we do an example of a surface integral, specifically computing the flux of a vector field across a surface (a ...
Download Options
Choose a download method below. All links open in new tabs.
Service Features Action
SaveFrom
MP4 & MP3 • HD Quality • Browser Extension Available
Download
Security Notice: These are third-party services. We recommend using antivirus software and being cautious of pop-up ads.