External Source

Finding The Linearization Of A Function Using Tangent Line Approximations

2018 13:12
Synopsis
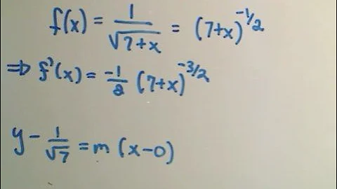
This calculus video tutorial explains how to find the local linearization of a function using tangent line approximations. It explains ...
Download Options
Choose a download method below. All links open in new tabs.
Service Features Action
SaveFrom
MP4 & MP3 • HD Quality • Browser Extension Available
Download
Security Notice: These are third-party services. We recommend using antivirus software and being cautious of pop-up ads.