External Source

Have You Solved A Functional Equation Before?

2023 0:40
Synopsis
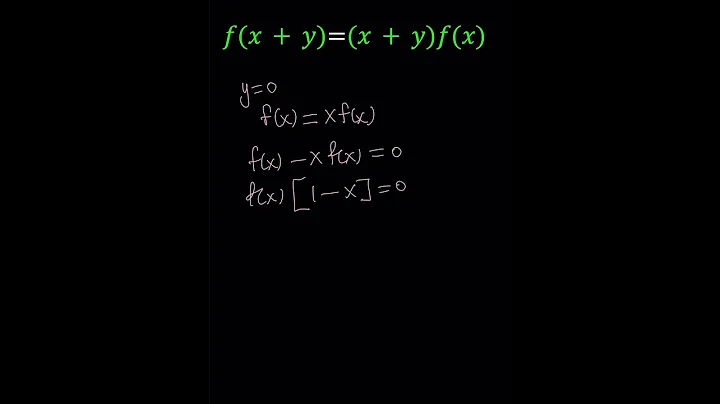
Have you ever solved a functional equation before? Here's an introductory functional equation for you! #shorts #math #maths ...
Download Options
Choose a download method below. All links open in new tabs.
Service Features Action
SaveFrom
MP4 & MP3 • HD Quality • Browser Extension Available
Download
Security Notice: These are third-party services. We recommend using antivirus software and being cautious of pop-up ads.