External Source

7.1 Introduction To Ordinary Differential Equations (odes)

2021 7:05
Synopsis
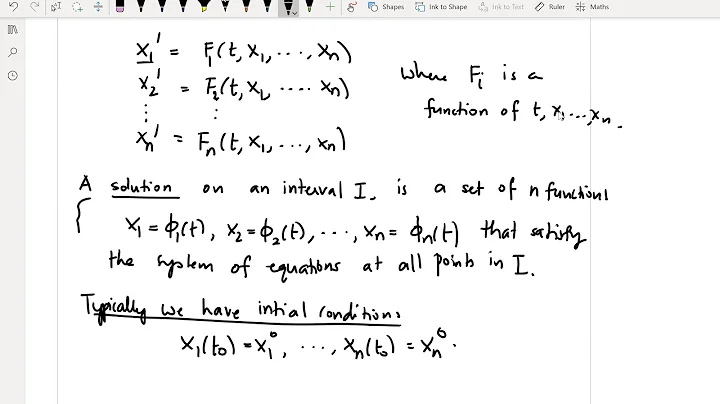
Brief overview of ordinary differential equations.
Download Options
Choose a download method below. All links open in new tabs.
Service Features Action
SaveFrom
MP4 & MP3 • HD Quality • Browser Extension Available
Download
Security Notice: These are third-party services. We recommend using antivirus software and being cautious of pop-up ads.