External Source

1.8 Example: Completeness And The Projection Operator In 2d Euclidian Space

2021 7:43
Synopsis
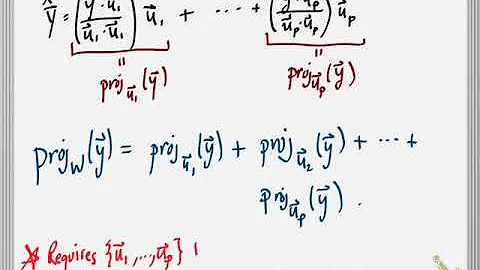
Presents an example of completeness and the projection for 2D Euclidian space using the unit vectors i and j in cartesian ...
Download Options
Choose a download method below. All links open in new tabs.
Service Features Action
SaveFrom
MP4 & MP3 • HD Quality • Browser Extension Available
Download
Security Notice: These are third-party services. We recommend using antivirus software and being cautious of pop-up ads.