External Source

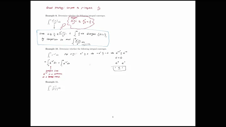
Improper Integrals: Example 10: Comparison Theorem

2016 6:24
Synopsis
In this video I go over another example on using the comparison theory to determine if an improper integral is convergent or ...
Download Options
Choose a download method below. All links open in new tabs.
Service Features Action
SaveFrom
MP4 & MP3 • HD Quality • Browser Extension Available
Download
Security Notice: These are third-party services. We recommend using antivirus software and being cautious of pop-up ads.