External Source

Trig Identities Using Complex Numbers

2021 11:50
Synopsis
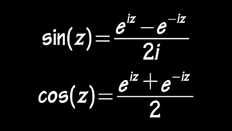
I derive forms of the double and half angle formulae for the sine and cosine using Euler's formula for complex exponentials.
Download Options
Choose a download method below. All links open in new tabs.
Service Features Action
SaveFrom
MP4 & MP3 • HD Quality • Browser Extension Available
Download
Security Notice: These are third-party services. We recommend using antivirus software and being cautious of pop-up ads.