External Source

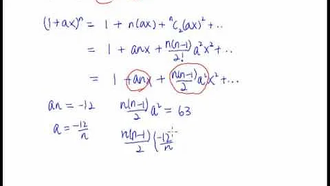
Find The Values Of N And A If (1+ax)^n = 1+12x+64x²

2023 12:48
Synopsis
No description available
Download Options
Choose a download method below. All links open in new tabs.
Service Features Action
SaveFrom
MP4 & MP3 • HD Quality • Browser Extension Available
Download
Security Notice: These are third-party services. We recommend using antivirus software and being cautious of pop-up ads.