External Source

Chain Rule | Power Function And Polynomial

2022 1:29
Synopsis
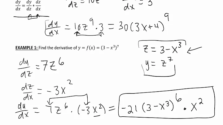
In this example problem, we apply the chain rule to take the derivative of a function that has a polynomial raised to a power.
Download Options
Choose a download method below. All links open in new tabs.
Service Features Action
SaveFrom
MP4 & MP3 • HD Quality • Browser Extension Available
Download
Security Notice: These are third-party services. We recommend using antivirus software and being cautious of pop-up ads.