External Source

Ap Cal 2.2 Defining The Derivative Of A Function And Using Derivative Notation (part 1)

2021 16:11
Synopsis
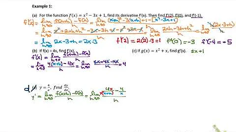
Define the derivative of a function using the limit definition, which yields the slope of the tangent line to a function at a point.
Download Options
Choose a download method below. All links open in new tabs.
Service Features Action
SaveFrom
MP4 & MP3 • HD Quality • Browser Extension Available
Download
Security Notice: These are third-party services. We recommend using antivirus software and being cautious of pop-up ads.