External Source

Tutorial: Convolution Sum

2012 9:17
Synopsis
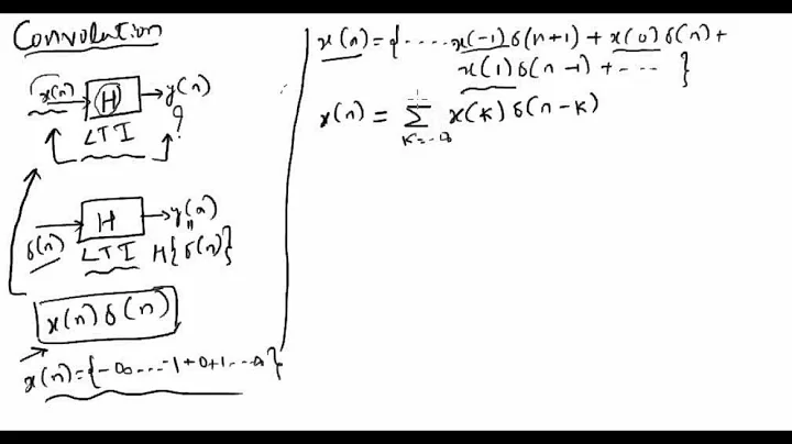
Learn about the discrete-time convolution sum of a linear time-invariant (LTI) system, and how to evaluate this sum to convolve ...
Download Options
Choose a download method below. All links open in new tabs.
Service Features Action
SaveFrom
MP4 & MP3 • HD Quality • Browser Extension Available
Download
Security Notice: These are third-party services. We recommend using antivirus software and being cautious of pop-up ads.