External Source

Calculus 2 Lecture 9.7: Power Series, Calculus Of Power Series, Ratio Test For Int. Of Convergence

2014 2:29:49
Synopsis
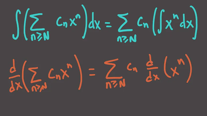
Calculus 2 Lecture 9.7: Power Series, Calculus of Power Series, Using Ratio Test to Find Interval of Convergence.
Download Options
Choose a download method below. All links open in new tabs.
Service Features Action
SaveFrom
MP4 & MP3 • HD Quality • Browser Extension Available
Download
Security Notice: These are third-party services. We recommend using antivirus software and being cautious of pop-up ads.