External Source

Definite Integral With Change Of Variables, U-substitution (example)

2021 3:14
Synopsis
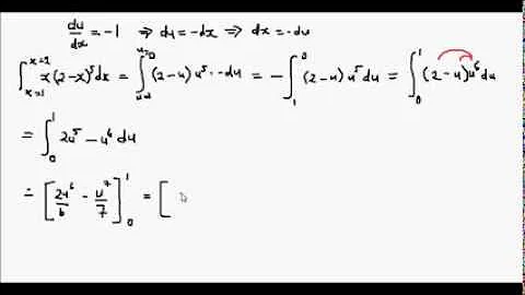
This video works through an example of evaluating a definite integral that uses a change of variable (u-substitution). The limits of ...
Download Options
Choose a download method below. All links open in new tabs.
Service Features Action
SaveFrom
MP4 & MP3 • HD Quality • Browser Extension Available
Download
Security Notice: These are third-party services. We recommend using antivirus software and being cautious of pop-up ads.