External Source

Cross Product Of 2 Vectors (how To Find)

2025 9:31
Synopsis
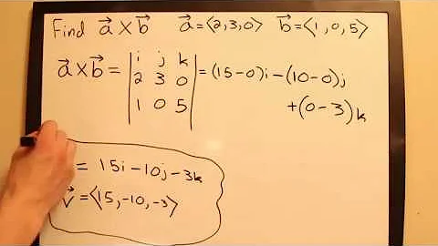
Learn how to find the cross product of two vectors with this step-by-step tutorial! Mario's Math Tutoring guides you through two ...
Download Options
Choose a download method below. All links open in new tabs.
Service Features Action
SaveFrom
MP4 & MP3 • HD Quality • Browser Extension Available
Download
Security Notice: These are third-party services. We recommend using antivirus software and being cautious of pop-up ads.