External Source

What Are Dummy Variables In Regression?

2025 5:23
Synopsis
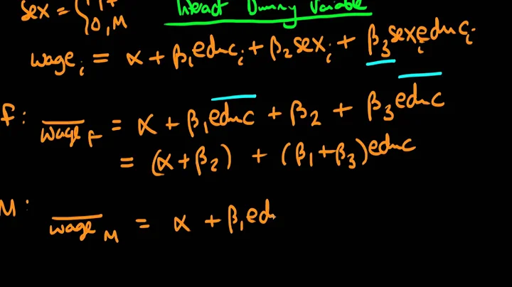
Dummy variables in regression are artificial variables created to represent categorical data numerically. They take binary values ...
Download Options
Choose a download method below. All links open in new tabs.
Service Features Action
SaveFrom
MP4 & MP3 • HD Quality • Browser Extension Available
Download
Security Notice: These are third-party services. We recommend using antivirus software and being cautious of pop-up ads.