External Source

What Is Laplace Noise? - The Friendly Statistician

2025 3:10
Synopsis
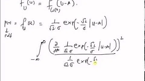
What Is Laplace Noise? In this informative video, we will dive into the concept of Laplace noise and its significance in data ...
Download Options
Choose a download method below. All links open in new tabs.
Service Features Action
SaveFrom
MP4 & MP3 • HD Quality • Browser Extension Available
Download
Security Notice: These are third-party services. We recommend using antivirus software and being cautious of pop-up ads.