External Source

Lesson 10 Trig Ratios For 0 And 90 Degrees

2020 3:28
Synopsis
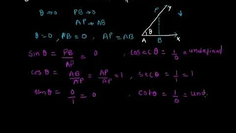
In this video you will learn trig ratios for 0 degrees and 90 degrees. Standard position defines trig ratios for values of theta not ...
Download Options
Choose a download method below. All links open in new tabs.
Service Features Action
SaveFrom
MP4 & MP3 • HD Quality • Browser Extension Available
Download
Security Notice: These are third-party services. We recommend using antivirus software and being cautious of pop-up ads.