External Source

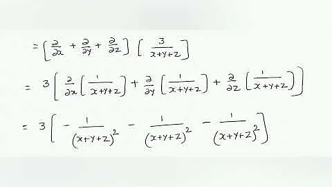
If U=log(x^3 + Y^3 + Z^3 - 3xyz)then Prove That (del/del X + De/del Y+ Del/del Z)^2.u=-9/(x+y+z)^2

2021 6:28
Synopsis
If u=log(x^3 + y^3 + z^3 - 3xyz)then prove that (del/del x + de/del y+ del/del z)^2.u = -9/(x+y+z)^2.
Download Options
Choose a download method below. All links open in new tabs.
Service Features Action
SaveFrom
MP4 & MP3 • HD Quality • Browser Extension Available
Download
Security Notice: These are third-party services. We recommend using antivirus software and being cautious of pop-up ads.