External Source

Modal Analysis Problem 1 [part 1] | Engineering Analysis I

2016 6:25
Synopsis
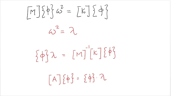
This is an example of a Modal Analysis problem for the "Applied Engineering Analysis" class at UTSA. I am in no way an expert on ...
Download Options
Choose a download method below. All links open in new tabs.
Service Features Action
SaveFrom
MP4 & MP3 • HD Quality • Browser Extension Available
Download
Security Notice: These are third-party services. We recommend using antivirus software and being cautious of pop-up ads.