External Source

Another Kind Of U-substitution

2013 9:48
Synopsis
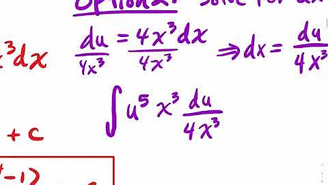
What to do if your du/dx isn't what you want it to be.
Download Options
Choose a download method below. All links open in new tabs.
Service Features Action
SaveFrom
MP4 & MP3 • HD Quality • Browser Extension Available
Download
Security Notice: These are third-party services. We recommend using antivirus software and being cautious of pop-up ads.